当前位置: 首页 > 政务公开 > 重点领域 > 旅游领域

2025

08/25

12:16

来源:
喀什市文化体育广播和旅游局

字体:【

访问量:

扫一扫在手机打开当前页

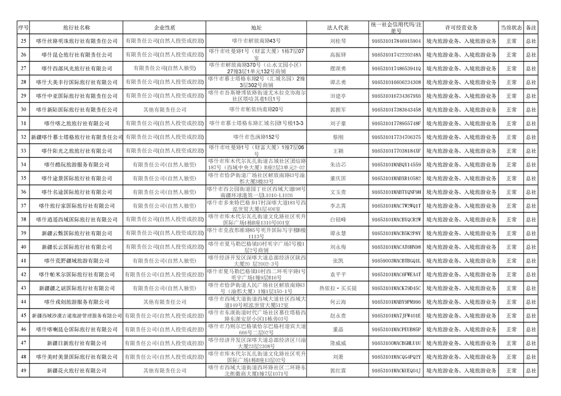
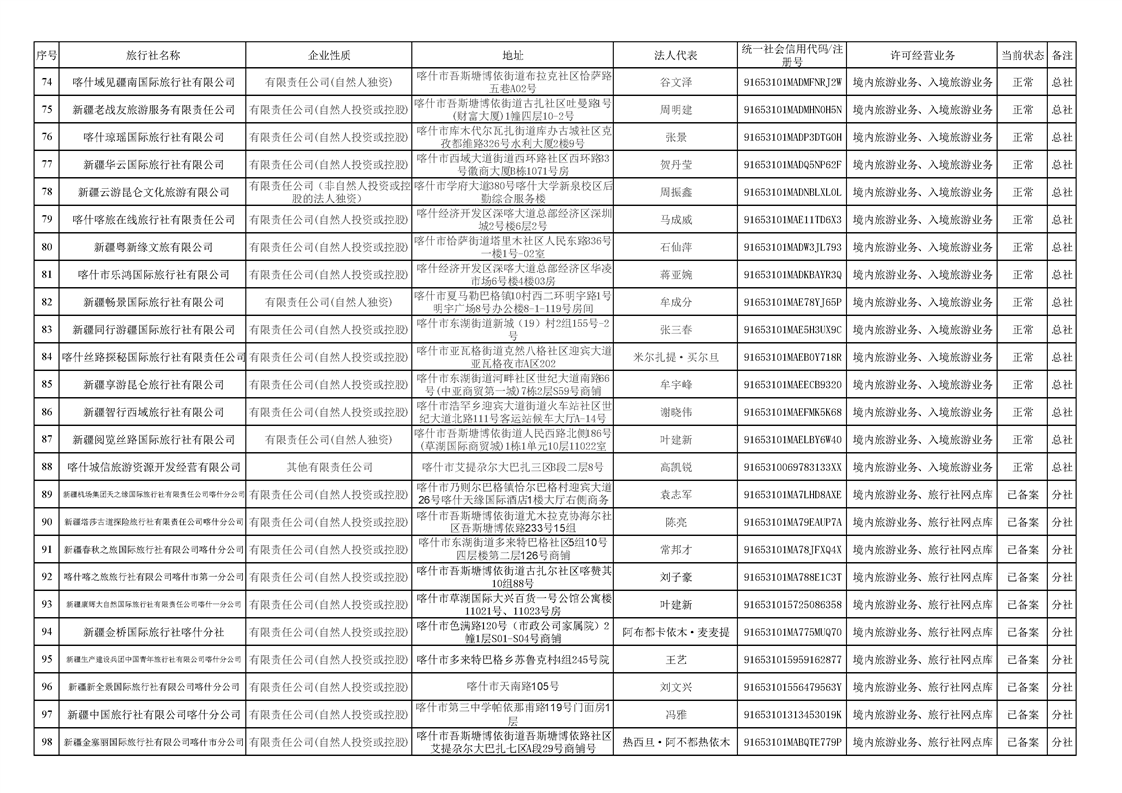
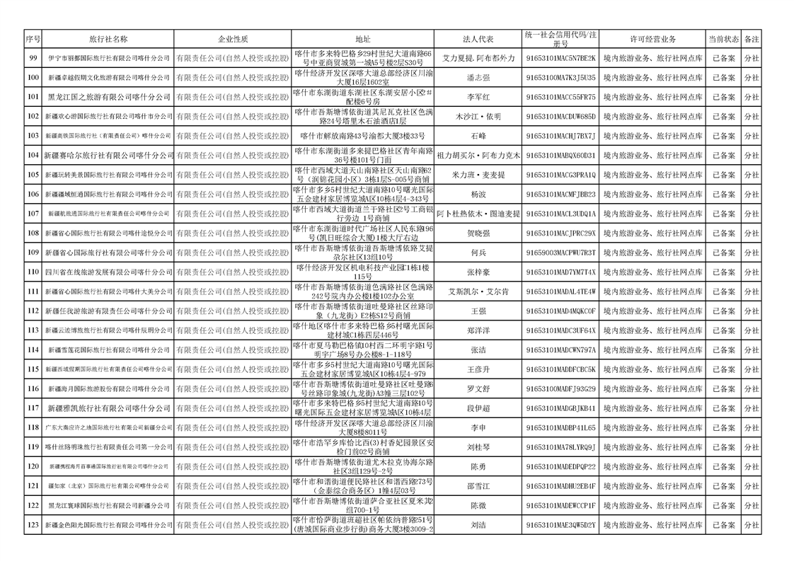
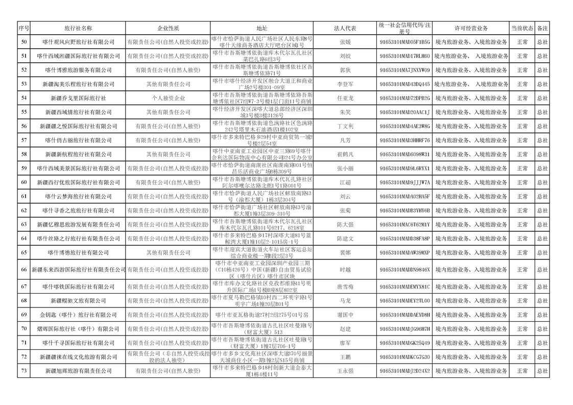
喀什市旅行社名录

来源:喀什市文化体育广播和旅游局 发布日期:2025-08-25 12:16 浏览次数: 字体:【







关联稿件:

作者:

【打印本文】 【关闭】